viernes, 20 de noviembre de 2020

 Presentación 

Hernández Cruz Ismael

Matricula:15190068

Escalona Martínez Nicolas Miguel Angel

Matricula: 15190128

Carrera: Licenciatura en Informática

Materia: Estadisticas

Maestro (a): Mabilia Romero Guevara 


miércoles, 18 de noviembre de 2020

ÍNDICE DE TEMAS

nota: todos los temas desarrollados y explicados se encuentran en el menú 

DISTRIBUCIONES MUESTRALES

DISTRIBUCIÓN MUESTRAL DE LA PROPORCIÓN.

DISTRIBUCIÓN MUESTRAL DE LA DIFERENCIA DE MEDIAS Y DE DIFERENCIA DE PROPORCIONES.

DISTRIBUCIÓN MUESTRAL DE LA DIFERENCIA DE MEDIAS.


INTERVALO DE CONFIANZA PARA LA MEDIA CON VARIANZA CONOCIDA Y DESCONOCIDA 



INTERVALO DE CONFIANZA PARA UNA PROPORCIÓN Y DIFERENCIA DE PROPORCIONES.


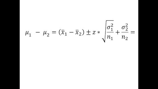
INTERVALO DE CONFIANZA PARA DIFERENCIAS DE MEDIAS CON VARIANZA CONOCIDA Y DESCONOCIDA.


INTERVALO DE CONFIANZA PARA UNA VARIANZA.



PRUEBA HIPÓTESIS



PRUEBA DE HIPÓTESIS PARA DIFERENCIA DE MEDIAS CON VARIANZAS CONOCIDAS Y DESCONOCIDAS


REGRESIÓN LINEAL






 






  P resentación  Hernández Cruz Ismael Matricula:15190068 Escalona Martínez Nicolas Miguel Angel Matricula: 15190128 Carrera: Licenciatura e...

temas